内容简介

SnO2是一种典型的过渡金属氧化物,具有无毒、廉价、高理论容量、优异电化学性能等优点,被视为极具潜力的锂/钠电池负极材料。然而和其他氧化物电极材料一样,SnO2在循环过程中的体积膨胀和粉化问题是制约其电化学性能及循环稳定性的瓶颈问题之一。
湖南大学马建民老师课题组设计了一种氮掺杂碳纤维表面生长SnO2纳米簇的复合结构(NC@SnO2),其中碳纤维起到负载SnO2纳米簇、抑制SnO2团聚以及高效电子传输网络三方面作用。利用NC@SnO2作为锂电池负极,1 A/g循环100周期后,放电容量高达 750 mAh/g;作为钠电池负极,100 mA/g循环100周期后放电容量保持270 mAh/g。
●●●
图文导读

▶ 图1 NC@SnO2合成过程示意图。

▶ 图2 a.b) SnO2SEM图; c.d) NC@SnO2 SEM图;e.f) NC@SnO2 TEM图。

▶ 图3 NC@SnO2,SnO2,NC XRD图。

▶ 图4 NC@SnO2 XPS图:a) Sn 3d, b) O 1s, c) N 1s, d C 1s。

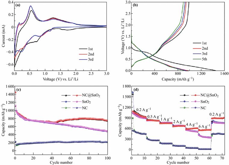
▶ 图5 LIBs电化学性能:a) 0.1mV s-1下,NC@SnO2循环伏安曲线;b) NC@SnO2充放电电压图;c) 1A g-1下,NC@SnO2,SnO2,NC的循环性能;d) NC@SnO2,SnO2,NC的倍率性能。

▶ 图6 SIBs电化学性能:a) 0.1 mV s-1下,NC@SnO2循环伏安曲线;b) NC@SnO2充放电电压图;c) 100 mA g-1下,NC@SnO2,SnO2,NC的循环性能;d) NC@SnO2,SnO2,NC的倍率性能。

▶ 图7 Li离子电池循环多次后,电极的SEM图:a, b) NC@SnO2;c, d) SnO2 。
文章信息
文章发表于 Nano-Micro Letters 期刊 2018 年第 10 卷第 2 期,详情请阅读全文,可免费下载。本文在期刊微信 (nanomicroletters)、微博 (纳微快报NML)、科学网博客、Facebook、Twitter等媒体推出,请多关注。以往微信推文可参看网站(http://nmsci.cn)。
文章题目:Growth of SnO2 Nanoflowers on N-doped Carbon Nanofibers as Anode for Li- and Na-ion Batteries
引用信息:Liang,J., Yuan, C., Li, H. et al. Nano-Micro Lett. (2018) 10: 21.
https://doi.org/10.1007/s40820-017-0172-2
关键词:SnO2,纳米结构,负极,锂电池,钠电池
长按/扫描二维码免费阅读全文

通讯作者简介

主要研究领域
1、锂/钠离子电池、超级电容器
2、电催化及气体传感器等纳米技术
3、DFT在电池和电催化相关体系的应用
关于我们
欢迎关注和投稿
Nano-Micro Letters 是上海交通大学主办的英文学术期刊,主要报道纳米/微米尺度相关的最新高水平科研成果与评论文章及快讯,在 Springer 开放获取(open-access)出版。已被 SCI、Scopus、DOAJ、知网和万方等数据库收录。
最新影响因子为4.849,JCR学科分区在材料学科和物理学科均居Q1区。2014年和2016年该刊连续入选“中国科技期刊国际影响力提升计划”,2015年和2016年荣获“中国最具国际影响力学术期刊”。
期刊执行严格的同行评议,提供英文润色、图片精修、封面图片设计等服务。出版周期1-2个月左右,高水平论文可加快出版。欢迎关注和投稿。
联系我们
| editorial_office@nmletters.org | |
| Web | http://springer.com/40820 |
| http://nmletters.org | |
| APP | nano-micro letters |
| 100737456 | |
| https://facebook.com/nanomicroletters | |
| https://twitter.com/nmletters | |
| Tel | 86-21-34207624 |

如果文章对您有帮助,可以与别人分享!:Nano-Micro Letters » 碳纤维表面生长SnO2纳米花:高性能锂电/钠电负极材料
Nano-Micro Letters
NML文章集锦 | 锂电池
NML高被引文章 | 锂/钠/钾离子电池
新加坡NUS综述:可替代锂电池的高能电池之研究及商业化进程
核壳异质结构一体式电催化剂:热冲击活化辅助纳米片自发生长应用于全解水