蚕丝新用途:合成抑制膨胀高性能多级多孔钾离子混合电容器碳电极

 

Cocoon SilkDerived, Hierarchically Porous Carbon as Anode for Highly Robust PotassiumIon Hybrid Capacitors
Haiyan Luo, Maoxin Chen, Jinhui Cao, Meng Zhang, Shan Tan, Lei Wang, Jiang Zhong, Hongli Deng, Jian Zhu*, Bingan Lu
Nano‑Micro Lett.(2020)12:113
https://doi.org/10.1007/s40820-020-00454-w
本文亮点

1. 采用可再生碳源——蚕丝制备了多级多孔氮掺杂碳(SHPNC)。
2. 该多级多孔氮掺杂SHPNC有效抑制体积膨胀,并成就了快速的离子和电子传输能力
3. KIHCs的最大能量密度达到135 Wh/kg,并具有优异的循环稳定性倍率性能
研究背景

钾离子混合电容器(KIHCs)结合了钾离子电池与超级电容器的优点,具有高能量密度、高功率密度和长循环寿命的优点,得到了越来越多研究者的关注。然而,较大的K+半径导致碳负极材料遭受严重的体积膨胀,从而造成KIHCs快速的容量衰减。该工作以蚕丝为原材料,制备了多级多孔氮掺杂碳用作KIHCs负极,有效缓解碳材料的体积膨胀,并提高其电子和离子的传输速度,为构建高性KIHCs提供了一条良好的路径。
内容简介

湖南大学二维材料课题组储能器件团队报道了一种具有多级多孔结构的碳纳米材料作为KIHCs负极。该SHPNC电极具有多级多孔结构和高含量氮掺杂不仅为循环过程中电子和K+的输运提供了快速的通道,而且有效缓解电极的体积膨胀,提高其稳定性。此外,通过原位Raman,非原位HR-TEM和元素mapping表征证明了SHPNC-900电极具有优异的电化学可逆性。因此,以SHPNC-900为负极和活性炭(AC)为正极的KIHCs可实现135Wh/kg的高能量密度,并且在2 A/g的大电流密度下运行3750次能量密度仍保持初始能量密度的75.4%。另外,SHPNC//AC KIHCs展现出优异的快充慢放性能。本研究表明,该KIHCs在未来高性能储能器件领域具有较大的应用前景。
图文导读

SHPNC的制备及其形貌表征

如图1a所示,利用蚕丝合成SHPNC分为四个步骤:(i)金属盐活化、(ii)冷冻干燥、(iii)焙烧、(iv)提纯过程。如SEM和TEM图所示(图 1b-f),所制得的SHPNC是由相互连接的碳纳米薄片组成,具有多级多孔结构,这有效地防止了碳材料的堆叠。同时,氮掺杂可以有效提高SHPNC电极的导电性并增加电化学活性位点(图1g)。这种多级多孔结构和氮掺杂为电子/钾离子的快速转移和电极的自由膨胀发挥了重要作用。图1i 是该纳米片的结构示意图,显示了SHPNC氮掺杂的种类和多孔结构。
图1. (a)SHPNC的合成示意图;(b,c)SHPNC-900(900℃煅烧)的SEM图;(d,e)SHPNC-900的TEM图;(f)高分辨TEM图;(g)SHPNC-900的元素分布图;(h)SHPNC-900纳米片的结构示意图。
II SHPNC的结构表征
该工作探究了煅烧温度对SHPNC的影响。如图2a所示,随着煅烧温度的升高,在XRD谱图中25°处的(100)峰变得更加尖锐,说明(100)层间距变小。另外,拉曼谱图中ID/IG值逐渐减小,表明SHPNC的石墨化程度随着退火温度的升高而增加(图2b)。通过图2c、d可以发现,随着退火温度的升高,SHPNC的比表面积显著增大,三种样品的孔径均集中在0~3 nm之间。XPS结果(图3e-i)显示了C、N、O三种元素在SHPNCs中的成键状态和大致含量,其中N的含量随退火温度的升高而降低。
图2. SHPNC的结构表征:(a)XRD谱图;(b)拉曼光谱图;(c)N2吸脱附曲线;(d)孔径分布;(e)XPS总谱;(f)C、N、O元素含量占比;(g)C1s谱;(h)N1s谱;(i)O1s谱。
III 钾离子半电池的电化学性能研究
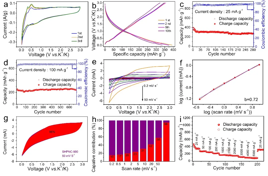
如图3a所示,CV曲线第一个循环的阴极峰的是由于固体电解质界面的形成和电解质的分解,在随后的循环中该峰逐渐减弱。而在0.304 V处的阳极峰可以归因于K+的插层行为。显然,随后循环的 CV曲线比较相似,同时充放电曲线几乎重叠(图3b),表明SHPNC-900电极具有良好的可逆性。电化学性能测试显示SHPNC-900表现出比其他温度煅烧制备的SHPNC具有更好的电池性能,故主要调研SHPNC-900的电化学性能。如图3c,d所示,SHPNC-900作为负极的钾离子半电池表现出高容量(在25 mA/g电流密度下循环163圈后仍有300 mA/h的可逆容量)和优异的循环稳定性(在100 mA/g电流密度下可良好的循环700圈)。另外,该工作还研究了该半电池进行反应动力学(3e-h)。明显的,随着扫描速度的加快电容的贡献逐渐增大,这表明高扫速下电化学存储行为主要由离子扩散过程决定(图3e-h)。图3i展示了该SHPNC-900电极优异的倍率性能。
图3. SHPNC-900为负极的钾离子半电池的电化学性能:(a)循环伏安曲线(CV)。(b)在电流密度为25 mA/g时的充放电曲线;(c)25和(d)100 mA/g的电流密度下的循环性能;(e)不同扫描速率下的CV曲线;(f)b值测定曲线;(g)在扫描速率为20 mV/s时的电容性贡献曲线;(h)在不同的扫描速率下的电容性贡献比例图;(i)倍率性能图。
IV 电化学可逆性分析
原位拉曼光谱和非原位TEM被用于探究SHPNC-900电极的电化学可逆性。如图4a,对充放电过程中原位拉曼结果的分析发现:在一次完整的充/放电过程中,G峰的位置也随之发生相应的偏移,最后回到最初的位置,说明SHPNC-900电极上表现出优异的电化学可逆性。图4b形象化地阐述了该KIHCs的充放电反应机理。另外,全充/全放电状态下SHPNC-900电极的元素mapping结果显示了K+可逆的嵌入/脱出SHPNC-900电极,进一步验证了其出色的电化学可逆性。
图4. (a)钾离子半电池中SHNPC-900电极的原位拉曼光谱,及其对应的充放电曲线;(b)KIHCs充/放电机制示意图;(c,d)SHPNC-900电极在不同状态下的元素mapping((c)完全充电状态,(d)完全放电状态)。
KIHCs的电化学性能研究
图5a(上)是SHPN-900负极、AC正极的CV曲线,显示了混合电容器的CV匹配过程。KIHCs(AC//SHPNC‑900)不同扫速的CV曲线和不同电流密度的充放电曲线表明该混合电容器设备也呈现出优良的电化学可逆性(图5a和b)。如图5c、d,与多种已报道的KIHCs相比,该KIHCs表现出较高的能量密度和功率密度。如图5e,其快充慢放性能同样让人印象深刻(在350 mA/g的电流密度下可在7分钟内迅速充满电,并以15 mA/g的电流密度持续放电可达2.5小时以上)。另外,该KIHCs具有良好的循环稳定性,在接近4000个循环后,仍然保持初始容量的75.4%(图 5g)。
图5. KIHCs的电化学性能:(a)SHPN-900负极和AC正极(上)以及全电池(下)的CV曲线;(b)不同电流密度下的充放电曲线;(c)倍率性能;(d)与其他KIHCs储能设备的性能对比图;(e,f)KIHCs的快充慢放性能(以350 mA/g的电流密度充电,在不同电流密度下放电);(g)在1 A/g的电流密度下的长循环性能,插图为对应的充放电曲线。
作者简介

朱建

本文通讯作者

湖南大学 副教授

主要研究领域
新型储能器件的制备及电化学储能研究:碱金属(锂/钠/钾)离子电池。
主要研究成果

Science、Nat. Rev. Mater.、Nat. Commun.、Joule、ACS Nano等国际知名学术期刊上发表论文30余篇,总引用次数超过2000次。以第一作者和通讯作者发表包括Nano-Micro Lett.、Nat. Commun、ACS Nano、Adv. Energy. Mater.、Adv. Funct. Mater.、Nano energy在内的论文22篇,其中影响因子大于10的论文11篇,并有1篇论文(Nano Energy 2014, 3, 80-87)被评为2014年中国百篇最具影响国际学术论文。

湖南大学二维材料课题组主页

http://nanotech.hnu.edu.cn/index.html

撰稿:原文作者

编辑:《纳微快报》编辑部

关于我们

Nano-Micro Letters 是上海交通大学主办的英文学术期刊,主要报道纳米/微米尺度相关的最新高水平科研成果与评论文章及快讯,在 Springer 开放获取(open-access)出版。可免费获取全文,欢迎关注和投稿。

E-mail:editorial_office@nmletters.org

Tel:86-21-34207624

如果文章对您有帮助,可以与别人分享!:Nano-Micro Letters » 蚕丝新用途:合成抑制膨胀高性能多级多孔钾离子混合电容器碳电极

赞 (0)